38_1
مركز المنتجات
المنزلمنتجommميك
مركز المنتجات Zug
مركز المنتجات Zug
مركز المنتجات Zug
مركز المنتج زوغ 1
مركز المنتج زوغ 1
ميك
الناتج القلبي غير الغازي (مخطط القلب المعاوقة، ICG) هي طريقة فحص غير جراحية للحكم على القلب وظيفة وتعكس التغيرات الديناميكية الدموية القلبية. بالمقارنة مع الناتج القلبي الغازي ، فهو غير غازي سيف ، مريحة ، اقتصادية وتستخدم على نطاق واسع.
وصف

 مبدأ القياس


الناتج القلبي غير الغازي هو من خلال تقنية المعاوقة القلبية، ويمكن أن يكون الأنسجة البشرية ما يعادل الموصل، والذي سينتج مقاومة عندما يمر جسم الإنسان عبر ارتفاع التردد سي التيار المتناوب ، لذلك فإن صدر جسم الإنسان يعادل موصل أسطواني ، حيث الموصلية الكهربائية للدم أفضل. عندما يكون القلب في الانقباض أو الانبساط، تدفق الدم والسرعة و سيتغير الحجم في الشريان الأبهري وفقًا لذلك. في هذا الوقت، تتغير المعاوقة الكهربائية للدم أيضًا مع التغيير في حجم الدم، ويمكن رسم مخطط القلب المعاوقة وفقا لتغيير imped (آنس)


تختار وحدة ميك للنظام طريقة الأقطاب الأربعة كطريقة للكشف عن الإصابة بالقلب إشارة ance بناءً على اعتبار الاستقرار والقابلية للنقل. كما هو موضح في الشكل ، أقطاب a و d يتم استخدامها كمصدر إشارة الإثارة لاكتساب إشارة مقاومة القلب، أي مدخلات عالية التردد يتم تحميل التيار في صدر جسم الإنسان من خلال هذا القطب ، ويتم استخدام b و c كقياس الأقطاب الكهربائية، ويتم اكتشاف إشارة المعاوقة القلبية من خلال هذين القطبين، حيث يكون القطب d وضعت في عملية xiphoid. وتعتبر المسافة بين b و c مسافة الصدر l، والتي يمكن أن تكون تستخدم في الحساب اللاحق للمعلمات الديناميكية الدموية الأخرى. المسافة بين a و b و c و d هي عموما حوالي 3 سم.



 قياس وحدة icg

 الفقرة 13متر تعريف
 تعريف المعلمة
صيغة
ن(س)صالقيمة المادية النطاق
شريكي
الناتج القلبي: الكمية الإجمالية من الدم المضخ من قبل اليسار البطين في الدقيقة.
 CO SV HR
 4.0-8.0 لتر/دقيقة
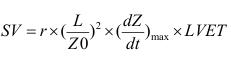
SV
السكتة الدماغية الناتج: المبلغ الإجمالي من الدم المضخ من قبل اليسار البطين لكل نبضات القلب.
  
 60-130 مل
سي سي
مؤشر الناتج القلبي: القلب الناتج بعد توحيد علاج مساحة سطح الجسم.
سي = CO/BSA2.5-4.5 لتر/دقيقة/م 2 الجسم مساحة السطح
 سي
مؤشر إخراج السكتة الدماغية: السكتة الدماغية حجم بعد مساحة سطح الجسم توحيد القياس
سي = SV/BSA
35-65ML/m2 مساحة سطح الجسم
ساعة
معدل ضربات القلب: عدد ضربات القلب لكل دقيقة
  ساعة = 60/RR60-100 قفزة في الدقيقة
تشجيع
فترة ما قبل الطرد: الوقت مأخوذة من البطين الأيسر إزالة الاستقطاب إلى فتح الأبهر
يعتمد على معدل ضربات القلب التحميل المسبق والانقباض من القلب
لفيت
وقت طرد البطين الأيسر: الفاصل الزمني بين الصمام الأبهري فتح وإغلاق الصمام الأبهري (انقباض التمرين)
يعتمد على التحميل المسبق معدل ضربات القلب و انقباض القلب
TFC
محتوى سائل الصدر: داخل الجنب الموصلية الكهربائية التي تم الحصول عليها أساسا عن طريق الكشف داخل الأوعية الدموية، داخل السنخية وداخل الجنب السائل الخلالي.
TFC = 1000/Z0
الذكور: 30-50/1000 EU أنثى: 21-37/1000 EU
شارع
نسبة الوقت الانقباضي: نسبة من الإثارة الكهربائية عضلة القلب إلى انكماش ميكانيكي
 STR = PEP/LVET

(ف)
كسر الطرد
إف = 0.84-064 * ستر

SQI
مؤشر جودة الإشارة

نطاق 0-100 sqi نطاق 101-201 sqi في وضع القطع الأثرية 254 لا إشارة


الشكل الموجي لـ icg

يشمل الشكل الموجي icg بشكل أساسي الشكل الموجي ecg ، cardi الشكل الموجي التفاضلي للمعاوقة AC والقلب شكل موجة المعاوقة. هناك 22 معلمة، مثل كما الناتج القلبي (CO)، حجم السكتة الدماغية (SV)، ما قبل ejec فترة (PEP)، وقت طرد البطين الأيسر (LVET)، نسبة الوقت الانقباضي (STR)، مؤشر القلب (CI)، مساحة سطح الجسم (BSA)، جزء الطرد (EF)، مؤشر انقباض عضلة القلب (IC)، معدل ضربات القلب (ساعة) وهكذا.


 دقة icg



جيل جديد من غير الغازية توفر أجهزة مراقبة إخراج القلب بديل لاستخدام التقليدية الأساليب الغازية مثل thermodi لوت. لدينا icg والتخفيف الحراري كانت قياسات إخراج القلب مأخوذة من العديد من المرضى يخضعون قسطرة القلب اليمنى. خطي أظهر تحليل الانحدار جيدًا العلاقة بين التخفيف الحراري و icg الخاص بنا حول السطر y = 1.0054x-0.1367 (r = 0.94).



 التطبيق السريري


> يمكن استخدامه كتشخيص روتيني لتقييم وظيفة القلب.

> مراقبة تأثير الأدوية على وظيفة القلب ، وتوجيه العلاج ، واختيار أفضل علاج.
> المراقبة في الوقت الحقيقي أثناء العملية والانتعاش ، والكشف في الوقت المناسب عن الظروف الديناميكية الدموية التي تهدد الحياة والإنقاذ.
> الأقسام المتاحة: ICU ، CCU ، غرفة التخدير/العمليات ، غرفة الطوارئ ، قسم أمراض القلب.

دليل الشراء



 التنزيلات


وحدة ميكج_02


المنتجات:
ميك
البريد الإلكتروني الخاص بك:
أبحاث تكنولوجيا المنتج
لا توجد بيانات متاحة
اتصال
العنوان:Zug الأنظمة الطبية ساس83170 برينولز فرنسا
رقم الهاتف:+33 9 84 116 339
فيسبوك
تيتوير
يوتيوب
رابط
شعار-أحمر
اللغة:
© 2025-2026 حقوق الطبع والنشر بواسطة Zug Medical Systems sas. جميع الحقوق محفوظة.
الدعم الفني:beautysite.cn