38_1
Centro prodotto
A casaIl prodottoommMick...
Zug-centro prodotto
Zug-centro prodotto
Zug-centro prodotto
Zug-Product Center 1
Zug-Product Center 1
Mick...
Output cardiaco non invasivo (impedenza cardiogramma, ICG) è un metodo di esame non invasivo per giudicare il cardiaco Funzionano e riflettono i cambiamenti emodinamici cardiaci. Rispetto all'output cardiaco invasivo co, non inva sive, conveniente, economico e ampiamente utilizzato.
La descrizione

 Principio di misurazione


L'output cardiaco non invasivo è attraverso la tecnica di impedenza cardiaca, e il tessuto umano può essere Equivalente a un conduttore, che produrrà impedenza quando il corpo umano passa attraverso ad alta frequenza Cy corrente alternata, quindi il petto del corpo umano è equivalente a un conduttore cilindrico in cui Conduttività elettrica del sangue è migliore. Quando il cuore è in sistola o diastole, il flusso sanguigno, la velocità Il volume nell'aorta cambierà di conseguenza. In questo momento, anche l'impedenza elettrica del sangue cambia con Cambiamento del volume sanguigno e il cardiogramma di impedenza può essere disegnato in base al cambiamento del volume sanguigno ance.


Modulo micg del sistema sceglie il metodo a quattro elettrodi come metodo per rilevare l'impedimento cardiaco Segnale ance basato sulla considerazione della stabilità e della portabilità. Come mostrato in figura, gli elettrodi a e d Vengono utilizzati come fonte di segnale di eccitazione per l'acquisizione del segnale di impedenza cardiaca, cioè l'ingresso ad alta frequenza Corrente viene caricata nel petto del corpo umano attraverso questo elettrodo, b e c vengono utilizzati come misurazione E il segnale di impedenza cardiaca viene rilevato attraverso questi due elettrodi, dove l'elettrodo d è Posizionato al processo xifoide. E la distanza tra b e c è considerata la distanza toracica l, che può essere Utilizzato nel calcolo successivo di altri parametri emodinamici. La distanza tra a, b e c, d è generalmente Circa 3 cm.



 Misurazione del modulo icg

 Paragraf 1Metro di misura L'identificazione
 Definizione dei parametri
La Formula
N.o.r...Valore mal La gamma
La compagnia
Output cardiaco: la quantità totale Di sangue pompato dalla sinistra Ventricolo al minuto.
 CO SV HR
 4,0-8,0 l/Min
# SV #
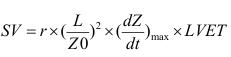
Produzione della corsa: la quantità totale Di sangue pompato dalla sinistra Ventricolo per battito cardiaco.
  
 60-130 ml
CI...
Indice di output cardiaco: cardiaco Uscita dopo la standardizzazione Trattamento della superficie corporea.
CI = CO/BSA2.5-4.5 litri/min/m2 carrozzeria Superficie superficiale
 SI...
Indice di uscita della corsa: corsa Volume dopo la superficie corporea La standardizzazione
SI = SV/BSA
35-65 ml/m2 superficie corporea
L'HR.
Frequenza cardiaca: numero di battiti cardiaci Al minuto
  HR = 60/RR60-100 salti al minuto
La spinta e la spinta
Periodo di pre-eiezione: il tempo Prelevato dal ventricolo sinistro Depolarizzazione all'apertura aortica
Dipende dalla frequenza cardiaca Precarico e la contrattilità Del cuore
Il Vet
Tempo di eiezione ventricolare sinistra: Intervallo tra valvola aortica Apertura e chiusura della valvola aortica (sistola dell'esercizio)
Dipende dal precarico di Frequenza cardiaca e Contrattilità del cuore
TFC...
Contenuto di liquido toracico: intrapleurico Conduttività elettrica ottenuta Principalmente rilevando intravascolari, Intraalveolare e intrapleurale Liquido interstiziale.
TFC = 1000/Z0
Maschio: 30-50/1000 EU Femmina: 21-37/1000 EU
# STR #
Rapporto di tempo sistolico: il rapporto di Eccitazione elettrica del miocardio Contrazione meccanica
 STR = PEP/LVET

# EF #
Frazione di eiezione
F = 0,84-064 * STR

SQI...
Indice di qualità del segnale

Intervallo 0-100 sq Gamma 101-201 sqi In modalità artefatti 254 nessun segnale


Forma d'onda icg

La forma d'onda di icg include principalmente la forma d'onda di ecg, cardi Forma d'onda differenziale di impedenza ac e cardiaco Forma d'onda di impedenza. Ci sono 22 parametri, come Come output cardiaco (CO), volume ictus (SV), pre-ejec Periodo di espulsione (PEP), tempo di espulsione ventricolare sinistra (LVET), rapporto tempo sistolico (STR), indice cardiaco (CI), Superficie del corpo (BSA), frazione di eiezione (EF), Indice di contrattilità miocardica (IC), frequenza cardiaca (HR) Aspetta un attimo.


 Accuratezza di icg



Una nuova generazione di non invasivi Monitor di output cardiaco fornisce un Alternativa all'uso convenzionale Metodo invasivo come il termodi La lution. La nostra icg e termodiluizione Le misurazioni del debit cardiaco sono state Prelevati da molti pazienti sottoposti Cateterizzazione del cuore destro. La linea della linea L'analisi di regressione ha mostrato buone Correlazione tra termodiluizione E il nostro icg sulla linea y = 1.0054 x -0.1367 (r=0.94).



 Applicazione clinica


> Può essere utilizzato come diagnosi di routine per valutare la funzione cardiaca.

> Monitorare l'effetto dei farmaci sulla funzione cardiaca, guidare il trattamento e scegliere il trattamento migliore.
> Monitoraggio in tempo reale durante l'operazione e il recupero, rilevamento tempestivo delle condizioni emodinamiche pericolose per la vita e salvataggio.
> Reparti disponibili: ICU, CCU, anestesiologia/sala operatoria, pronto soccorso, reparto cardiologia.

Guida di acquisto



 Il download


MICG Module_02


Prodotti:
Mick...
La tua email:
Ricerche e articoli tecnologici dei prodotti
Nessun dato disponibile
I contatti e i contatti
Indirizzo:Zug Medical System SAS83170 brignoles francese
Numero telefono:+33 9 84 116 339
facebook...
Il titweer
youtube...
Il collegamento
Logo-rosso
Lingua:
© 2025-2026 copyright di zog medical systems sas. Tutti i diritti riservati.
Supporto Tecnico:beautysite.cn