38_1
Produktzentrum
StartseiteProdukteommMICG
Zug-Produktcenter
Zug-Produktcenter
Zug-Produktcenter
Zug-Produktcenter 1
Zug-Produktcenter 1
MICG
Nicht-invasives Herzvolumen (Impedanzkardiographie, ICG) Es ist eine nicht-invasive Beurteilung des Herzens Funktion, die hämodynamische Veränderungen des Herzens widerspiegelt. Es ist nicht-invasiv im Vergleich zu invasiven Herzleistung CO Bequem, wirtschaftlich und weit verbreitet.
Beschreibung

 Messprinzip


Der nicht-invasive Herzausgang wird durch die Herzimpedanztechnologie ermittelt, das menschliche Gewebe kann Äquivalent zu einem Leiter, der Impedanz erzeugt, wenn der menschliche Körper durch hohe Frequenzen hindurchläuft cy Wechselstrom, so dass die Brust des menschlichen Körpers einem zylindrischen Leiter entspricht, in dem Das Blut leitet besser elektrisch. Wenn sich das Herz in der Systole oder Diastole befindet, werden die Blutfluss, die Geschwindigkeit und Das Volumen der Aorta ändert sich entsprechend. Zu diesem Zeitpunkt ändert sich auch die elektrische Impedanz des Blutes mit Änderung des Blutvolumens, entsprechend der Änderung des imped kann ein Herzimpedanzdiagramm gezeichnet werden Anse.


Das MICG-Modul des Systems wählt das Vier-Elektroden-Verfahren als Erkennungsverfahren für Herzimpfung aus ance Signale basierend auf Stabilitäts- und Portabilitätsüberlegungen. Wie gezeigt, die An- und D-Elektroden Als Erregersignalquelle für die Erfassung des Herzimpedanzsignals, d.h. Eingangshochfrequenz Über diese Elektrode wird ein Strom in die menschliche Brust geladen, wobei B und C als Messung Elektroden, über die das Herzimpedanzsignal detektiert wird, wobei die D-Elektrode Befindet sich am xiphoidalen Fortsatz. Der Abstand zwischen B und C wird als thorakaler Abstand L betrachtet und kann Für die Berechnung anderer hämodynamischer Parameter im späteren Stadium. Der Abstand zwischen A und B und C und D beträgt im Allgemeinen Ca. 3 cm.



 ICG-Modulmessung

 FürMessgeräte Identifizierung
 Parameterdefinition
Formeln
NorFalscher Wert Geltungsbereich
CO
Herzvolumen: Gesamtmenge Blut wird von links gepumpt Herzkammer pro Minute.
 CO SV HR
 4.0-8.0 L/Min
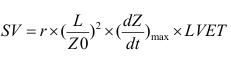
SV
Hubleistung: Gesamtmenge Blut wird von links gepumpt Herzkammer für jeden Herzschlag.
  
 60-130 ml
CI
Herzvolumen Index: Herz Normierte Ausgabe Behandlung der Körperoberfläche.
CI=CO/BSA2,5-4,5 l/min/m2 Oberfläche
 Ja
Trip Output Index: Trip Volumen nach der Körperoberfläche Standardisierung
SI=SV/BSA
35-65ML/m2 Körperoberfläche
HR
Herzfrequenz: Anzahl der Herzschläge Pro Minute
  HR=60/RR60-100 Sprünge pro Minute
PEP
Vorauswerfungsphase: Zeit Aus dem linken Ventrikel entnommen Depolarisation der Aortenöffnung
Abhängig von der Herzfrequenz Vorspannkraft und Schrumpfbarkeit Des Herzens
LVET
Linksventrikuläre Ejektionszeit Aortenklappenintervall Öffnung und Schließung der Aortenklappe (motorische Systole)
Abhängig von der Vorlast Herzfrequenz und Herzkontraktilität
TFC
Pleuralflüssigkeitsgehalt: intrapleural Erhaltene elektrische Leitfähigkeit Hauptsächlich durch Nachweis intravaskulärer, Intraalveoläre und intrapleurale Interstitielle Flüssigkeit.
TFC=1000/Z0
Männer: 30-50/1000 EU Frauen: 21-37/1000 EU
STR
Schrumpfzeitverhältnis: Elektrische Erregung des Herzmyokards Mechanische Schrumpfung
 STR=PEP/LVET

EF
Ejektionsfraktion
EF=0,84-064*STR

SQI
Signalqualitätsindex

0-100 SQI-Bereich 101-201 SQI-Bereich Im Artefakt-Modus 254 Kein Signal


ICG-Wellenform

ICG-Wellenformen umfassen hauptsächlich EKG-Wellenformen, cardi Wechselstrom-Impedanz-Differenzwellenform und Herz Impedanzwellenform. Es gibt 22 Parameter wie Als Herzvolumen (CO), Schlagvolumen (SV), Preejektion Linksventrikuläre Ejektionszeit (LVET), systolisches Zeitverhältnis (STR), kardialer Index (CI), Körperoberfläche (BSA), Ejektionsfraktion (EF), Myokardkontraktilitätsindex (IC), Herzfrequenz (HR) Und so weiter.


 Genauigkeit der ICG



Eine neue Generation von nicht-invasiv Herzleistungsmonitor bietet Nutzung einer Alternative zu traditionellen Methoden Invasive Methoden wie thermodi Lösungen. Unsere ICG und Thermodilution Die Messung des Herzausgangs ist Von vielen Patienten entnommen Katheterisierung des rechten Herzens. Linearen Regressionsanalyse zeigt gut Korrelation zwischen Thermodilution Unser ICG für die Linie y= 1,0054 x -0,1367 (r = 0,94).



 Klinische Anwendung


> Es kann als routinemäßige Diagnose zur Beurteilung der Herzfunktion verwendet werden.

> Überwachen Sie die Wirkung von Medikamenten auf die Herzfunktion, leiten Sie die Behandlung und wählen Sie den besten Behandlungsplan.
> Echtzeitüberwachung während der Operation und während der Genesung, rechtzeitige Erkennung lebensbedrohlicher hämodynamischer Zustände und Rettung.
> Verfügbare Abteilungen: Intensivstation, CCU, Anästhesiologie/Operationssaal, Notaufnahme, Kardiologie.

Kaufleitfaden



 Downloads


MICG Modul_02


Produkte:
MICG
Ihre E-Mail Adresse:
Produkte Technische Studien und Artikel
Keine Daten verfügbar
Ansprechpartner
Adresse:Medizinische Systeme Zug83170 Brignoles Frankreich
Telefonnummer:+33 9 84 116 339
facebook
Titweil
youtube
Verbindungen
Logo-rot
Sprachen:
© 2025-2026 Urheberrechte vorbehalten Zug Medical Systems GmbH. Alle Rechte vorbehalten.
Technischer Support:beautysite.cn