38_1
Centro de productos
HogarProductosommMICG
Zug-Centro de productos
Zug-Centro de productos
Zug-Centro de productos
Zug-Centro de productos 1
Zug-Centro de productos 1
MICG
Gasto cardíaco no invasivo (impedanciocardiograma, ICG) Es un juicio no invasivo del corazón Función, que refleja los cambios hemodinámicos del corazón. No invasiva en comparación con el gasto cardíaco invasivo CO Conveniente, económico y ampliamente utilizado.
Descripción

 Principio de medición


El gasto cardíaco no invasivo es a través de la tecnología de impedancia cardíaca, el tejido humano puede Equivalente a un conductor que crea una impedancia cuando el cuerpo humano pasa a través de altas frecuencias cy de corriente alterna, por lo que el tórax del cuerpo humano equivale a un conductor cilíndrico, en el que La sangre conduce mejor la electricidad. Cuando el corazón está en la fase sistólica o diastólica, el flujo sanguíneo, la velocidad y El volumen de la aorta cambiará en consecuencia. En este momento, la impedancia eléctrica de la sangre también cambia con Cambios en el volumen sanguíneo, se puede dibujar un mapa de impedancia cardíaca de acuerdo con los cambios en imped Anse.


El módulo MICG del sistema selecciona el método de cuatro electrodos como el método de detección del impacto cardíaco Señales basadas en consideraciones de estabilidad y portabilidad. Como se muestra en la figura, los electrodos An y D Utilizado como fuente de señal de excitación para la adquisición de señal de impedancia cardíaca, es decir, la entrada de alta A través de este electrodo se carga una corriente eléctrica al tórax humano, B y C como medidas Electrodos, a través de los cuales se detecta la señal de impedancia cardíaca, siendo el electrodo D Localizado en el proceso xifoide. La distancia entre B y C se considera la distancia torácica L, que puede ser Se utiliza para el cálculo de otros parámetros hemodinámicos en la etapa posterior. La distancia entre A y B y C y D es generalmente Aproximadamente 3 cm.



 Medición del módulo ICG

 ParaInstrumentación Identificación
 Definición de parámetros
Fórmulas
NorEl valor del error Alcance
CO
Gasto cardíaco: total La sangre se bombea desde el lado izquierdo Ventriculares por minuto.
 CO SV RHH
 4.0-8.0 L/Min
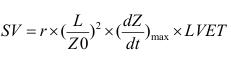
SV
Salida de carrera: total La sangre se bombea desde el lado izquierdo El ventrículo de cada latido.
  
 60-130 ml
CI
Índice de Gasto Cardíaco: Corazón Salida normalizada Tratamiento del área de superficie corporal.
CI=CO/BSA2.5-4.5 l/min/m2 Área superficial
 Sí
Índice de salida de viaje: viaje Volumen después del área de superficie corporal Estandarización
SI=SV/BSA
35-65ML/m2 Área de superficie corporal
RHH
Frecuencia cardíaca: Número de latidos Por minuto
  HR=60/RR60-100 saltos por minuto
PEP
Pre-eyección: tiempo Tomado del ventrículo izquierdo Despolarización de la apertura aórtica
Depende de la frecuencia cardíaca Fuerza de pretensión y contracción Del corazón
LVET
Tiempo de eyección del ventrículo izquierdo Intervalo valvular aórtico Apertura y cierre de la válvula aórtica (sistólica motor)
Depende de la precarga Frecuencia cardíaca y Contractilidad cardíaca
TFC
Contenido de líquido pleural: intrapleural Conductividad obtenida Principalmente mediante la detección intravascular, Intraalveolar e intrapleural Fluido intersticial.
TFC=1000/Z0
Hombres: 30-50/1000 EU Mujeres: 21-37/1000 EU
STR
Relación de tiempo de contracción: Excitación eléctrica del miocardio Contracción mecánica
 STR=PEP/LVET

EF
Fracción de ejección
EF=0.84-064*STR

SQI
Índice de calidad de señal

Rango 0-100 SQI 101-201 Rango SQI En el modo artefacto 254 Sin señal


Forma de onda ICG

Las formas de onda de ICG incluyen principalmente formas de onda de ECG, cardi Forma de onda diferencial de impedancia de CA y corazón Forma de onda de impedancia. Hay 22 parámetros, como as gasto cardíaco (CO), volumen de trazo (SV), pre-eyección Tiempo de eyección del ventrículo izquierdo (LVET), relación de tiempo sistólico (STR), índice cardíaco (IC), área de superficie corporal (BSA), fracción de eyección (EF), Índice de contractilidad miocárdica (IC), frecuencia cardíaca (FC) Y así sucesivamente


 Exactitud del ICG



Nueva generación no invasiva El monitor de gasto cardíaco proporciona Utilizar una alternativa a los métodos tradicionales Métodos invasivos, como el thermodi Soluciones. Nuestro ICG y termodilución La medición del gasto cardíaco es Tomado de muchos pacientes Cateterización del corazón derecho. Lineal El análisis de regresión muestra buena Correlación entre la termodilución Nuestro ICG sobre la línea y= 1.0054X-0.1367 (r=0.94).



 Aplicación clínica


> Se puede utilizar como un diagnóstico de rutina para evaluar la función cardíaca.

> Monitorear los efectos de los medicamentos en la función cardíaca, guiar el tratamiento y seleccionar el mejor plan de tratamiento.
> Monitoreo en tiempo real durante la operación y la recuperación, detección oportuna de condiciones hemodinámicas potencialmente mortales y rescate.
> Departamentos disponibles: UCI, CCU, Anestesiología/Quirófano, Urgencias, Cardiología.

Guía de compra



 Descargar


Módulo MICG_02


Productos:
MICG
Su email:
Productos Estudios técnicos y artículos
No hay datos disponibles
Personas de contacto
Dirección:Zug Medical Systems AG83170 Brignoles Francia
Número de teléfono:+33 9 84 116 339
facebook
Titwell
youtube
Enlaces
Logotipo-rojo
Idiomas:
© © 2025-2026 Todos los derechos reservados a Zug Medical Systems GmbH. Todos los derechos reservados.
Soporte Técnico:beautysite.cn